О нас
О Федерации бокса России
История
Задачи
Наши партнеры
Контакты
Документы
Регионы
Новости
Все новости
Региональные новости
Трансляции
Зал славы
Призёры олимпийских игр
Чемпионы профессионального бокса
Легенды
Проф. бокс
Документы
Структура департамента
Результаты боев
Предстоящие бои
Календарь
Менеджеры-Промоутеры
Боксеры
Чемпионы России
Рейтинги боксеров
Олимп. бокс
Мужская сборная
Женская сборная
Положения
Информационные письма
Календарный план/Изменения в ЕКП
Вызовы
Судейские отчёты
Списки сборных команд России
▶
Документы
Всероссийская комиссия судей
▶
Кулач. бой
Документы
Структура департамента
Результаты боев
Предстоящие бои
Календарь
Менеджеры-Промоутеры
Бойцы
Чемпионы России
Рейтинги
Удар на Силу
Документы
Положения
Информационные письма
Календарь
Отчёты
Антидопинг
Пулы тестирования
Дисквалификация
Документы
Образование
Полезные ссылки
АДАМС
Залы бокса
Пресс-центр
СМИ о нас
Связаться с пресс-службой
Фотогалерея
Видеогалерея
Прямые трансляции
Найти
en
Главная
Трансляции
Видео
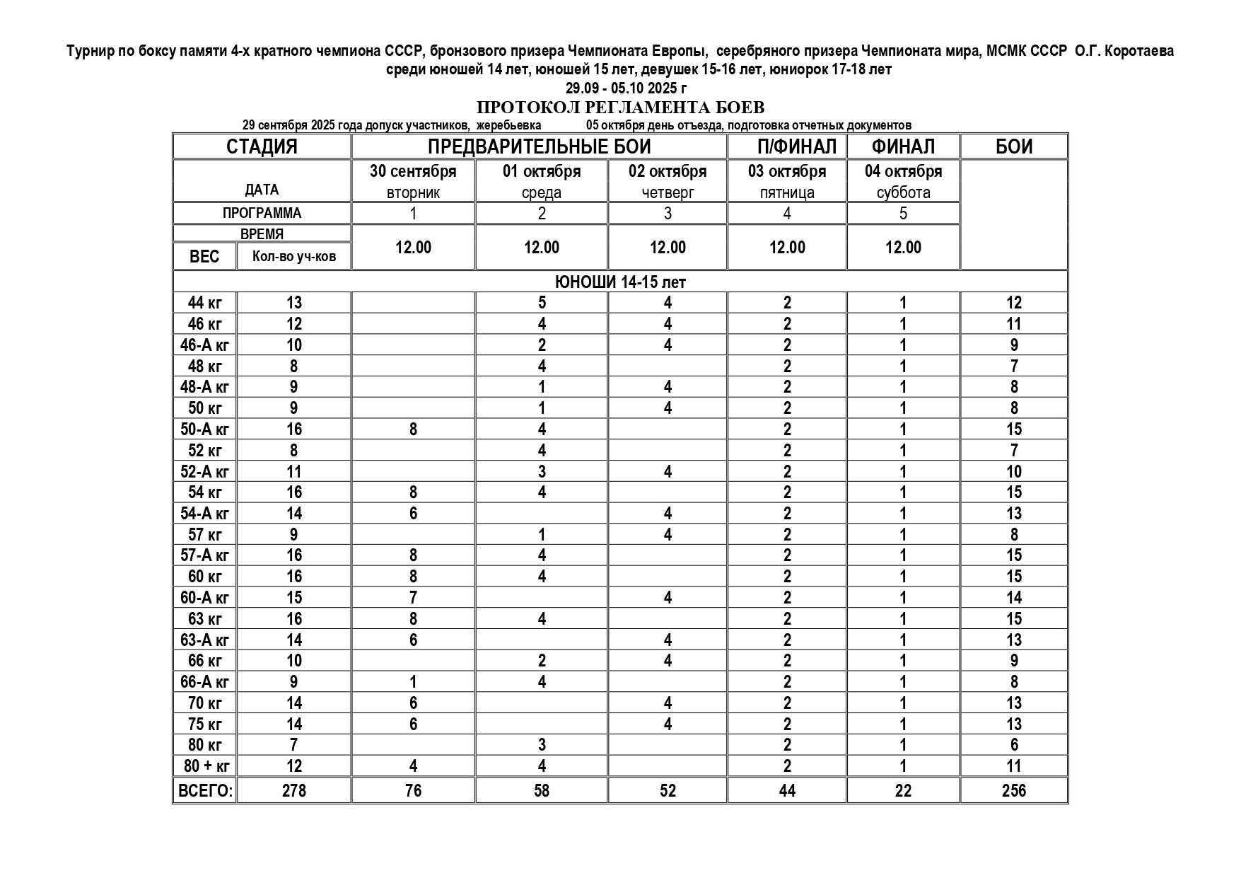
X Традиционный турнир по боксу памяти 4-х кратного чемпиона СССР О.Г. Коротаева среди юношей девушек и юниорок. Москва. День 1.
Eще трансляции
Всероссийские соревнования по боксу «Памяти ЗМС СССР, 9-кратного чемпиона СССР Королёва Н.Ф. и памяти боксеров-бойцов спецназа» среди мужчин и женщин. Москва. ФИНАЛЫ!
Всероссийские соревнования по боксу «Памяти ЗМС СССР, 9-кратного чемпиона СССР Королёва Н.Ф. и памяти боксеров-бойцов спецназа» среди мужчин и женщин. Москва. День 4.
Всероссийские соревнования по боксу «Памяти ЗМС СССР, 9-кратного чемпиона СССР Королёва Н.Ф. и памяти боксеров-бойцов спецназа» среди мужчин и женщин. Москва. День 3.
Всероссийские соревнования по боксу «Памяти ЗМС СССР, 9-кратного чемпиона СССР Королёва Н.Ф. и памяти боксеров-бойцов спецназа» среди мужчин и женщин. Москва. День 2.
<div><img src="https://mc.yandex.ru/watch/55251937" style="position:absolute; left:-9999px;" alt="" /></div>